36
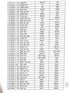
रायगढ़। शनिवार की रात वरिष्ठ पुलिस अधीक्षक शशि मोहन सिंह ने विभागीय काम काज में कसावट लाने के उद्देश्य से भारी संख्या में पुलिस जवानों का तबादला आदेश जारी किया है। इस आदेश में 219 पुलिस जवानों के नाम शामिल है।
शनिवार की शाम पुलिस अधीक्षक कार्यालय से जारी तबादला आदेश में वरिष्ठ पुलिस अधीक्षक शशि मोहन सिंह ने काम काज में कसावट लाने से लिए लंबे समय से एक ही जगह पर पदस्थ रहे पुलिसकर्मियों को भी नई जिम्मेदारी देते हुए अलग-अलग थानों में भेजा गया है। जारी आदेश के अनुसार दो सौ से भी अधिक पुलिसकर्मियों को एक थाना क्षेत्र से दूसरे थाना क्षेत्र में स्थानांतरित किया गया है। जिसमें 1 उप निरीक्षक, 12 सहायक उप निरीक्षक, 48 प्रधान आरक्षक के अलावा 158 आरक्षकों के नाम शामिल है।






